47+ Analisa Sni Pasang Plafon Pvc
Juni 11, 2021
0
Comments
Poin pembahasan 47+ Analisa Sni Pasang Plafon Pvc adalah :
47+ Analisa Sni Pasang Plafon Pvc. plafon pvc membuat desain lebih hidup. Menarik perhatian, membangun suasana, bahkan mempengaruhi emosi dan persepsi kita. Namun terkadang Anda kesulitan harus memulai dari mana dalam memilih paletplafon pvc yang cocok dengan proyek Anda. Tenang, kami telah mengerjakannya untuk Anda. plafon pvc dengan artikel 47+ Analisa Sni Pasang Plafon Pvc berikut ini

Analisa Harga Satuan Plafond Gypsum Rangka Hollow 2021 Sumber : homupdate.blogspot.com

Analisa Harga Satuan Plafond Gypsum Rangka Hollow 2021 Sumber : homupdate.blogspot.com

Ide 16 Analisa Harga Plafon Gypsum Gambar Minimalis Sumber : bentukdanmodelplafonminimalis.blogspot.com

ANALISA SNI 2021 UNTK RANGKA BAJA RINGAN DAN ATAP pdf Sumber : docs.google.com

Analisa Harga Satuan Pekerjaan Plafond Gypsum Rangka Sumber : kumpulankerjaan.blogspot.com

Analisa Harga Satuan Pekerjaan Plafond Gypsum Rangka Sumber : kumpulankerjaan.blogspot.com

Analisa Harga Satuan Pekerjaan Plafond Gypsum Rangka Sumber : kumpulankerjaan.blogspot.com

Analisa Harga Satuan Plafond Gypsum Rangka Hollow 2021 Sumber : homupdate.blogspot.com

KONTRAKTOR INTERIOR GYPSUM PROFILINDO 081315588229 Sumber : interiorgypsum.wordpress.com

Konsep 49 Analisa Rangka Plafon Pvc Sumber : dapurrminimalis.blogspot.com

Analisa Harga Satuan Plafond Gypsum Rangka Hollow 2021 Sumber : homupdate.blogspot.com

Harga Borongan Pemasangan Pipa Pvc Desain Rumah Idaman Sumber : guidecraftbookshelfz.blogspot.com
ahs pemasangan plafon pvc, rab plafon pvc, analisa harga pemasangan plafon pvc, analisa perhitungan plafon pvc, sni pemasangan plafon, biaya pasang plafon pvc, analisa rangka plafond baja ringan, rab pemasangan shunda plafon,

Konsep 49 Analisa Rangka Plafon Pvc Sumber : dapurrminimalis.blogspot.com

Analisa Harga Satuan Plafond Gypsum Rangka Hollow 2021 Sumber : homupdate.blogspot.com

Analisa Harga Satuan Plafond Gypsum Rangka Hollow 2021 Sumber : homupdate.blogspot.com
ahs pemasangan plafon pvc, rab plafon pvc, analisa harga pemasangan plafon pvc, analisa perhitungan plafon pvc, sni pemasangan plafon, biaya pasang plafon pvc, analisa rangka plafond baja ringan, rab pemasangan shunda plafon,
47+ Analisa Sni Pasang Plafon Pvc. plafon pvc membuat desain lebih hidup. Menarik perhatian, membangun suasana, bahkan mempengaruhi emosi dan persepsi kita. Namun terkadang Anda kesulitan harus memulai dari mana dalam memilih paletplafon pvc yang cocok dengan proyek Anda. Tenang, kami telah mengerjakannya untuk Anda. plafon pvc dengan artikel 47+ Analisa Sni Pasang Plafon Pvc berikut ini

Analisa Harga Satuan Plafond Gypsum Rangka Hollow 2021 Sumber : homupdate.blogspot.com
Populer 22 Analisa Harga Satuan Pekerjaan
27 02 2021 DENGAN MENGGUNAKAN INDEX STANDAR NASIONAL INDONESIA Analisa Harga Satuan Pekerjaan SNI DT 91 0006 2007 Tata cara perhitungan harga satuan pekerjaan tanah untuk konstruksi bangunan gedung dan perumahan Pasang Plafon PVC Klik Disini Kredit Motor Honda Garut Klik di sini

Analisa Harga Satuan Plafond Gypsum Rangka Hollow 2021 Sumber : homupdate.blogspot.com
Baru 9 Analisa Rangka Plafon Pvc Blogger
30 09 2021 Sebelum profesi rangka plafon di mulai khususnya dulu ragam ragam profesi yang lain yang ada di tentang atas plafon atau seluruh profesi yang berkaitan dengan atap haruslah di selesaikan khususnya dulu apabila tak karenanya nanti akan repot artinya pemasangan plafon yang telah selesai malahan akan menjadi tak bagus dan malahan akan rusak
Ide 16 Analisa Harga Plafon Gypsum Gambar Minimalis Sumber : bentukdanmodelplafonminimalis.blogspot.com
Pemasangan 1 m List Plafond PVC Ahadi
29 03 2021 Poin pembahasan Populer 22 Analisa Harga Satuan Pekerjaan Plafond Pvc adalah analisa pekerjaan plafond rab pemasangan shunda plafon harga plafon pvc analisa pas plafond pvc analisa harga satuan partisi gypsum rangka hollow 2021 analisa harga satuan pekerjaan drop ceiling analisa sni rangka plafon pvc analisa harga satuan plafond gypsum rangka hollow 2021
ANALISA SNI 2021 UNTK RANGKA BAJA RINGAN DAN ATAP pdf Sumber : docs.google.com
Konsep 49 Analisa Rangka Plafon Pvc Blogger
28 07 2021 Poin pembahasan Konsep 49 Analisa Rangka Plafon Pvc adalah rab pemasangan shunda plafon analisa harga satuan plafond gypsum rangka hollow rab plafon pvc analisa harga satuan pekerjaan plafond pvc analisa pasang rangka plafon hollow analisa sni rangka plafon analisa harga satuan pekerjaan dinding partisi grc harga plafon wifon
Analisa Harga Satuan Pekerjaan Plafond Gypsum Rangka Sumber : kumpulankerjaan.blogspot.com
Baru 9 Analisa Rangka Plafon Pvc Blogger
30 09 2021 Sebelum profesi rangka plafon di mulai khususnya dulu ragam ragam profesi yang lain yang ada di tentang atas plafon atau seluruh profesi yang berkaitan dengan atap haruslah di selesaikan khususnya dulu apabila tak karenanya nanti akan repot artinya pemasangan plafon yang telah selesai malahan akan menjadi tak bagus dan malahan akan rusak

Analisa Harga Satuan Pekerjaan Plafond Gypsum Rangka Sumber : kumpulankerjaan.blogspot.com
Pemasangan 1 m List Plafond PVC Ahadi
29 03 2021 Poin pembahasan Populer 22 Analisa Harga Satuan Pekerjaan Plafond Pvc adalah analisa pekerjaan plafond rab pemasangan shunda plafon harga plafon pvc analisa pas plafond pvc analisa harga satuan partisi gypsum rangka hollow 2021 analisa harga satuan pekerjaan drop ceiling analisa sni rangka plafon pvc analisa harga satuan plafond gypsum rangka hollow 2021

Analisa Harga Satuan Pekerjaan Plafond Gypsum Rangka Sumber : kumpulankerjaan.blogspot.com
Konsep 49 Analisa Rangka Plafon Pvc Blogger
28 07 2021 Poin pembahasan Konsep 49 Analisa Rangka Plafon Pvc adalah rab pemasangan shunda plafon analisa harga satuan plafond gypsum rangka hollow rab plafon pvc analisa harga satuan pekerjaan plafond pvc analisa pasang rangka plafon hollow analisa sni rangka plafon analisa harga satuan pekerjaan dinding partisi grc harga plafon wifon
Analisa Harga Satuan Plafond Gypsum Rangka Hollow 2021 Sumber : homupdate.blogspot.com
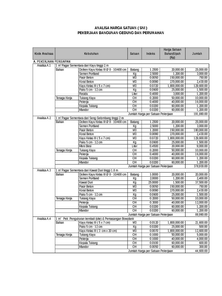
Analisa Harga Satuan Pekerjaan SNI analisa harga
PEKERJAAN PLAFON 1 Pekerjaan Plafond PVC ex Shunda Plafond 1 0000 M2 Plafond PVC Type Drain Gloss White PL 06 061 6mm x 20 cm 1 0000 Ls Jasa Pasang termasuk rangka dan asesoris 1 M2 105 000 00 75 000 00 JUMLAH OVERHEAT DAN PROFIT 10 JUMLAH TOTAL 2 Pekerjaan List Plafond PVC ex Shunda Plafond 1 0000 M List Plafond PVC Type

KONTRAKTOR INTERIOR GYPSUM PROFILINDO 081315588229 Sumber : interiorgypsum.wordpress.com
Pemasangan 1 m2 Plafond PVC Ahadi
16 rows 10 08 2021 Analisa harga satuan pekerjaan AHSP Pemasangan 1 m2 Plafond PVC Berdasarkan peraturan menteri pekerjaan umum dan perumahan rakyat nomor 28 PRT M 2021 tentang analisis harga satuan pekerjaan bidang umum nomor A 4 5 1 10 adalah sebagai berikut A 4 5 1 HARGA SATUAN PEKERJAAN LANGIT LANGIT PLAFOND A 4 5 1 10 Pemasangan 1 m2 Plafond PVC

Konsep 49 Analisa Rangka Plafon Pvc Sumber : dapurrminimalis.blogspot.com
Analisa Harga Satuan Pekerjaan SNI analisa harga
PEKERJAAN PLAFON 1 Pekerjaan Plafond PVC ex Shunda Plafond 1 0000 M2 Plafond PVC Type Drain Gloss White PL 06 061 6mm x 20 cm 1 0000 Ls Jasa Pasang termasuk rangka dan asesoris 1 M2 105 000 00 75 000 00 JUMLAH OVERHEAT DAN PROFIT 10 JUMLAH TOTAL 2 Pekerjaan List Plafond PVC ex Shunda Plafond 1 0000 M List Plafond PVC Type
Analisa Harga Satuan Plafond Gypsum Rangka Hollow 2021 Sumber : homupdate.blogspot.com
Konsep 49 Analisa Rangka Plafon Pvc Blogger
28 07 2021 Poin pembahasan Konsep 49 Analisa Rangka Plafon Pvc adalah rab pemasangan shunda plafon analisa harga satuan plafond gypsum rangka hollow rab plafon pvc analisa harga satuan pekerjaan plafond pvc analisa pasang rangka plafon hollow analisa sni rangka plafon analisa harga satuan pekerjaan dinding partisi grc harga plafon wifon

Harga Borongan Pemasangan Pipa Pvc Desain Rumah Idaman Sumber : guidecraftbookshelfz.blogspot.com
Pemasangan 1 m List Plafond PVC Ahadi
29 03 2021 Poin pembahasan Populer 22 Analisa Harga Satuan Pekerjaan Plafond Pvc adalah analisa pekerjaan plafond rab pemasangan shunda plafon harga plafon pvc analisa pas plafond pvc analisa harga satuan partisi gypsum rangka hollow 2021 analisa harga satuan pekerjaan drop ceiling analisa sni rangka plafon pvc analisa harga satuan plafond gypsum rangka hollow 2021
ahs pemasangan plafon pvc, rab plafon pvc, analisa harga pemasangan plafon pvc, analisa perhitungan plafon pvc, sni pemasangan plafon, biaya pasang plafon pvc, analisa rangka plafond baja ringan, rab pemasangan shunda plafon,
Konsep 49 Analisa Rangka Plafon Pvc Sumber : dapurrminimalis.blogspot.com
Baru 9 Analisa Rangka Plafon Pvc Blogger
30 09 2021 Sebelum profesi rangka plafon di mulai khususnya dulu ragam ragam profesi yang lain yang ada di tentang atas plafon atau seluruh profesi yang berkaitan dengan atap haruslah di selesaikan khususnya dulu apabila tak karenanya nanti akan repot artinya pemasangan plafon yang telah selesai malahan akan menjadi tak bagus dan malahan akan rusak

Analisa Harga Satuan Plafond Gypsum Rangka Hollow 2021 Sumber : homupdate.blogspot.com
Populer 22 Analisa Harga Satuan Pekerjaan
27 02 2021 DENGAN MENGGUNAKAN INDEX STANDAR NASIONAL INDONESIA Analisa Harga Satuan Pekerjaan SNI DT 91 0006 2007 Tata cara perhitungan harga satuan pekerjaan tanah untuk konstruksi bangunan gedung dan perumahan Pasang Plafon PVC Klik Disini Kredit Motor Honda Garut Klik di sini

Analisa Harga Satuan Plafond Gypsum Rangka Hollow 2021 Sumber : homupdate.blogspot.com
Analisa Harga Satuan Pekerjaan SNI analisa harga
PEKERJAAN PLAFON 1 Pekerjaan Plafond PVC ex Shunda Plafond 1 0000 M2 Plafond PVC Type Drain Gloss White PL 06 061 6mm x 20 cm 1 0000 Ls Jasa Pasang termasuk rangka dan asesoris 1 M2 105 000 00 75 000 00 JUMLAH OVERHEAT DAN PROFIT 10 JUMLAH TOTAL 2 Pekerjaan List Plafond PVC ex Shunda Plafond 1 0000 M List Plafond PVC Type
Shunda Plafon PVC Harga Plafon PVC Desain Plafon PVC Pemasangan Plafon PVC Motif Plafon PVC Cara Pasang Plafon PVC Ukuran Plafon PVC Model Plafon PVC Plafon PVC Kamar List Plafon PVC Plafon PVC Minimalis Plafon PVC Indofon Denah Plafon PVC Gambar Plafon PVC Cantik Plafon PVC Solo Mesin Plafon PVC Kelebihan Plafon PVC Plafon De PVC Merk Plafon PVC Plafon PVC Yang Bagus Plafon PVC Jogja Plafon PVC 1 Dus Distributor Plafon PVC Plafon PVC Vinitec Plafon PVC Cirebon Plafon PVC Terbaik Pemasangan Plafon Gypsum Plafon PVC Terbaru Plafon PVC Nusahome Warna Plafon Rumah Plafon PVC vs Gypsum Plafon PVC Yogyakarta Plafon PVC Adalah Model Plapon PVC Plafon PVC Semarang Atap Rumah Plafon PVC Plafon PVC Original Plafon PVC 60X60 Plafon PVC Bekasi PVC Plafon Limasan Plafon PVC Surabaya Plafon PVC Depok Plafon PVC Medan Rangka Plafon Bahan Plafon
0 Komentar